Correlogram or Autocorrelation Function (ACF) is a graphic of autocorrelation values from several time intervals in time series data. ACF explains how big the successive data correlation in a time series data. ACF can be used to determine whether a time series data is stationary or not.
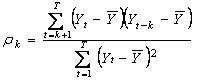
ACF represents comparison between covariant on lag k and its variant. ACF formulated as follows:

Where :
: ACF coefficient in lag k
: The number of observations (the amount of observed period)
: Observation in t period
: Mean
: Observation in t-k period
ACF (
) has value started from -1 to 1. If ACF value on every lag is 0, hence the data is stationary. As a rough rule, lag length needed to analyze is one third or a quarter of the number of observations of a time series data.
Also, to determine whether a time series data is stationary or not, you can use the statistical test based on standard error (se). By following the normal distribution standard, the interval with signification equal to 95 % for
with the sample number equal to
is
or

If ACF coefficient value is in interval with signification equal to 95%, then null hypothetic
that shows ACF value (
) equal to 0 can not be rejected. It means that the data is stationary.
Besides that, to know whether time series data is stationary or not, Q statistical test which follows Chi Square distribution can be used. Q statistical value formulated below:

Where:
: Number of the tested lag
: Q statistical value in lag m
: The number of samples
: ACF coefficient in lag k
If the Q statistical value is smaller than Q value obtained from chi squares
table in certain significant level, then null hypothetic
which shows that ACF value (
) equal to 0 can not be rejected. It shows that the data is stationary.